Change Log:
Bleeding: no longer needed since C7's errata now allows untrained use of Bandages.
Advantage: the previous version proved still too fiddly
Armor and Criticals: all that malarkey proved too fiddly
Conditions: way too much rolling, way too much fiddly details...
Lots of things added...
Advantage
Very much simplified. You either have Advantage or you don't. If you do, you get +20%. No counting levels of advantage. No houserule exceptions on how you gain or lose it.
A couple of Talents are expected to lose some or all their value because of this. Luckily a player is never required to take any of them, so no changes are necessary - just don't take the Talents you're no longer interested in. (That said we are exploring ways to tweak select Talents on a case by case basis. Still early days though)
Armor and Shields
Armor no longer negate criticals, full stop. Shields no longer negate criticals and no longer provide Armor Points.
In summary, a regular shield grants you +10% to your parry (no off-hand penalty) and allows you to block incoming arrows (that you see). No other benefits.
This isn't as drastic as it seems. Read on before you judge
Critical Hits
Criticals only occur when you go into negative Wounds.
We don't like how crits are unconnected to the severity of the incoming blow. We observe how curiously non-lethal the crits are. Basically only results from 75 on up are actually combat enders. Having to keep track of the number of crits you've suffered is a symptom of a too-soft crit table. The way none of it matters since you're likely struck Unconscious by Bleeding just makes the design failure more glaring, even though it kind of makes the problems with the crit tables moot.
So the number of "negative Wounds" you take is important. If you take 7 Damage and have 2 Wounds left, you're brought to -5 Wounds. This means the crit roll is 01-50. You never stay at negative Wounds - if you survive you're back at 0 Wounds, just like you're used to.
It's easier to show you than to tell you:
Code: Select all
-1 01-10
-2 01-20
-3 01-30
-4 01-40
-5 01-50
-6 01-60
-7 01-70
-8 01-80
-9 01-90
-10 01-100
-11 11-100
-12 21-100
-13 31-100
-14 41-100
-15 51-100
-16 61-100
-17 71-100
-18 81-100
-19 91-100
-20 Instant Death & Deathblow Special Hits
Whenever you roll a double on an active Test (such as an attack, but not on a parry) your foe gets a Special Hit, not a critical hit. This is a table of much-simplified effects with no Conditions and few follow-up die rolling.
The concept of losing additional Wounds is transferred from Crits to Special Hits, since it's obviously only when you have Wounds left it's meaningful to make you lose more Wounds.
Since doubles no longer cause criticals, armor no longer need crit negation! Yay!
(The exact table can be found attached to post #2, below)
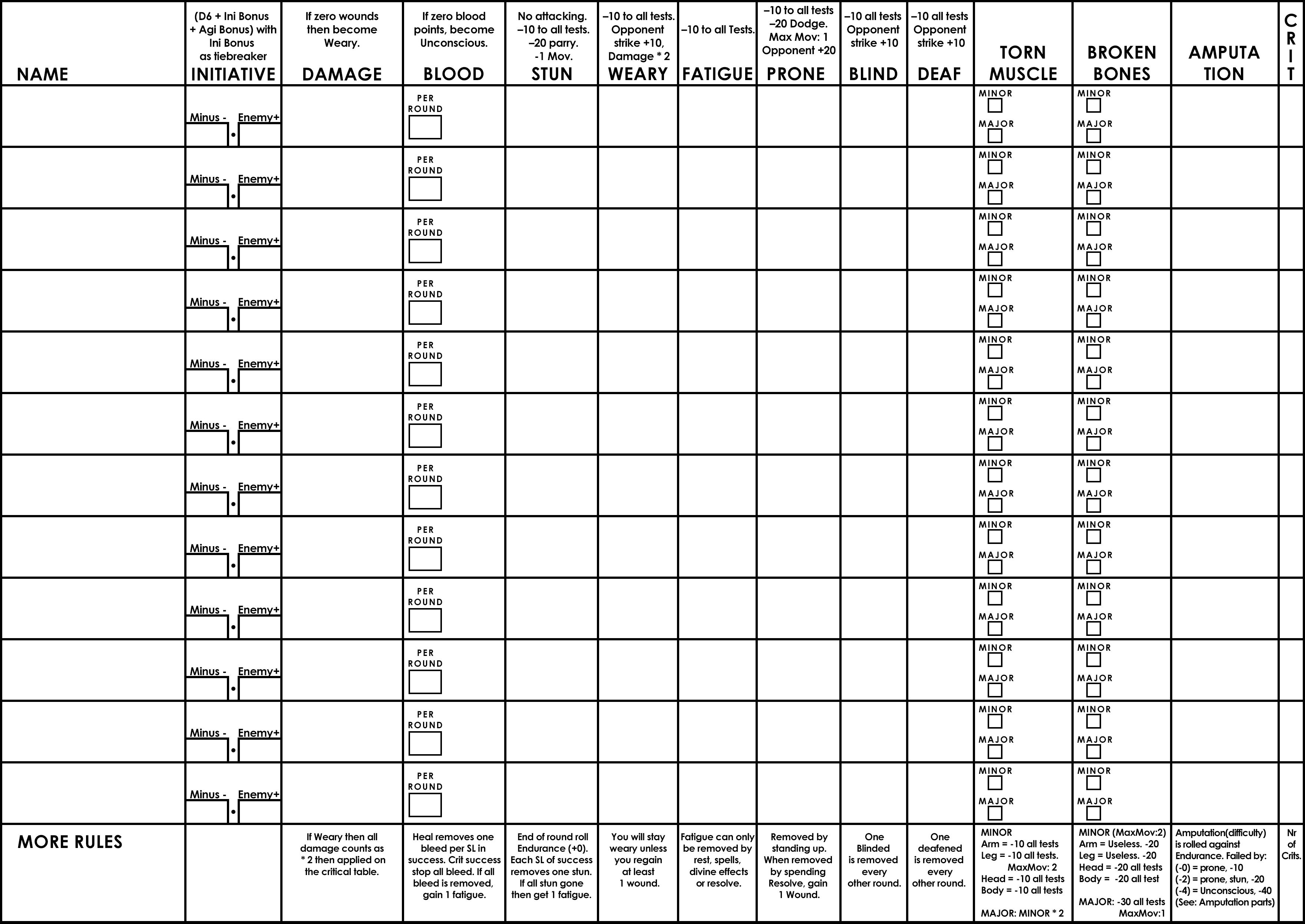
Conditions
The actual rules and effects of Conditions are simplified and streamlined. No wonky special exceptions you can never remember. (Combat sheet attached to post #2, below)
In particular, the way Bleeding means an instant combat loss is unacceptable (because as soon as you run out of Wounds you fall Unconscious).
Stunned: Can't attack. -10% to all Tests. Additional -20% to parry. -1 Move.
Weary: -10% to all Tests. Enemy attacks +10%. Damage counts twice for purposes of determining criticals.
Fatigue: -10% to all Tests.
Bleeding: Lose 1 Blood Point. When out of BPs, fall unconscious, and start making instant death tests (10% per Bleeding, small chance of spontaneous healing)
Prone: -10% to all Tests. Additional -20% to dodge. Move 1. Enemy melee attacks +20%.
Blinded: -10% to all Tests. Enemy attacks +10%.
Deafened: -10% to all Tests. Enemy attacks +10%.
All modifiers are cumulative. No nonsense exceptions. You might say it's "boring" that penalties are so similar. I say it's been a goddamn lifesaver!
Weary
This is a new condition that you suffer from whenever you have no Wounds left. Simple right?
Well, it brings penalties, but more importantly, it makes negative Wounds count double, so it means you're pretty much staring Death in the eye once your Wounds have run out. This is how we like it. And not coincidentally, how WFRP has always liked it!
If you take 7 Wounds when you're at zero Wounds (=Weary), that means the crit roll is as if you were brought to -14 Wounds instead of -7. That is, not a roll of 01-70 but a roll of 41-100. Significantly more scary!
Obviously you only become Weary after resolving an attack. The attack that brings you to zero/negative Wounds is not subject to the doubling rule!
Bleeding
Now you have "Blood Points" (equal to your starting Wounds). Only when you've lose all your Blood Points do you fall unconscious and start making those insta-death Tests. This transforms the crit tables to "you're bleeding plus a lot of unimportant clutter since you're Unconscious" to "you're now bleeding and here are some other important consequences".
It also means Bleeding the condition no longer is stupidly lethal. You have a bit more time to save your friends.
Initiative
Add this to the list of possible initiative variants...
Each time combat start, roll for your Initiative: d6 + AB (agility Bonus) + IB (Initiative Bonus). Ties are broken by your IB. Most easily, write this as your result x 10 + your IB. Still tied and you act exactly simultaneously.
Example: Your Agility is 45%, your Initiative is 31% and you roll a 2 on your d6. Your combat initiative is 93.
The 9 is the die roll plus AB plus IB. The 3 is the IB.
Your Agility is 51%, your Initiative is 56% and you roll a 5 on your d6. Your combat initiative is 155.
The 15 is the die roll plus AB plus IB. The 5 is the IB.
The Combat Reflexes Talent is reworked to instead give you an initiative die one sie larger: take it once for a d8, twice for a d10 and three times for a d12. Since you can still roll a '1' even on a d12, you're never assured of acting first. Such is the chaos of combat.
Crude Handweapons
A new weapon category containing simple clubs, short or dented swords, hand axes, ... add any less good handweapon to this category: unwieldy, unbalanced, poorly maintained or simply worthless handweapons.
Crude handweapon
Price: 1/-
Damage: +SB+3
(This allows you to equip riff-raff with handweapons without the party immediately getting rich for defeating them. Just lower the damage listing of any foe by 1 (or just don't bother, maybe riff-raff are slightly stronger than other folks...?) that doesn't appear rich enough to have a "proper" handweapon. This also cuts back on the nonsense where starting characters immediately raid the garden sheds or rob travellers for weapons when the players find out they can't afford to buy any.)
Dexterity in Combat
I'm opening up the possibility of getting by with Dex if you can settle for small, quick, concealable weapons: daggers, throwing knives, darts, cudgels and short swords (the latter two counts as +3 "crude" hand weapons). Add any similar weapons the GM and player agrees should qualify.
That is:
a) you may use Dexterity in place of Weapon Skill for Melee (Basic) skill tests with certain weapons (such as the Knife)
b) you may use Dexterity in place of Ballistic Skill for Ranged (Throwing) skill tests with certain weapons (such as the Throwing Knife)
For any other weapon, you still need WS/BS as normal. For any other Melee or Ranged skill, you still need WS/BS as normal.
(When Agility was split into Ag, I and Dex, the latter Characteristic ended up simply worth less. Careers that depend on it (thieves, tradesmen, engineers...?) effectively have a "Characteristics tax" if they too want to partake in adventures - read combat - while everyone can safely dump Dex. Now you can play a Cat Burglar character that puts her XP into Dex and Agility instead of WS and BS! After all, a high skill is MUCH more important that high damage in this edition, so asking a character to get on by with "only" a dagger is much less of an ask than it would have been in v1/v2)
Falling Damage
Effective falling height is reduced by Agility Bonus.
(Hint: if you want your game to encourage exciting roof-top chases don't make your heroes avoid heights in general.)
Example: you have Agility 39. You fall four yards. You suffer 1d10 + (4-3)x3 Wounds. That is, 1d10+3 Wounds instead of 1d10+12 Wounds.
